Экзамен радиолюбителя
Просмотр вопросов и пояснений
☀️
🌙
Всего: 426
Вопрос № 173
Теория радиосистем (передатчики, приемники, антенны и распространение радиоволн)
Категории: 1, 2, 3, 4
✓ Просмотрено
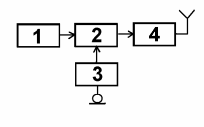
На функциональной схеме изображён FM-передатчик. Чем является блок, обозначенный цифрой 4?
a)
Усилителем мощности.
b)
Модулятором.
c)
Задающим генератором.
d)
Микрофонным усилителем.
Правильный ответ:
a)
Пояснение
Показать
Если пояснение длинное — прокручивайте, форматирование Markdown сохранено.
Навигация
← 172
174 →
JSON API