Экзамен радиолюбителя
Просмотр вопросов и пояснений
☀️
🌙
Всего: 426
Вопрос № 174
Теория радиосистем (передатчики, приемники, антенны и распространение радиоволн)
Категории: 1, 2, 3, 4
✓ Просмотрено
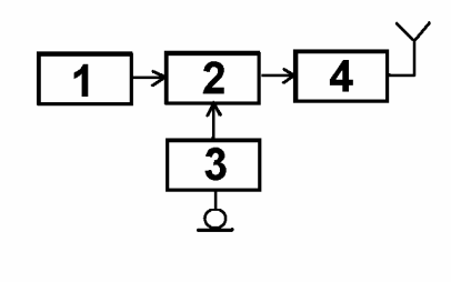
На функциональной схеме изображён FM-передатчик. Чем является блок, обозначенный цифрой 3?
a)
Микрофонным усилителем.
b)
Задающим генератором.
c)
Модулятором.
d)
Усилителем мощности.
Правильный ответ:
a)
Пояснение
Показать
Если пояснение длинное — прокручивайте, форматирование Markdown сохранено.
Навигация
← 173
175 →
JSON API